Volume & Issue: Volume 8, Issue 2, Winter 2025 
Number of Articles: 17

Preparation of magnetic nanodendrimers and their applications in organic reactions and biomedicine: An update

Pages 211-239

https://doi.org/10.22034/crl.2024.464729.1364

Fatemeh Kalantari, Mohammad Reza Poor Heravi, Ali Ramazani, Rovnag Rzayev

Abstract In this review, the bioactive agents can be encapsulated into the interior of the dendrimers or chemically grafted/physically adsorbed on the dendrimer surface with the option of tailoring the carrier to the fundamental needs of the active material and its therapeutic applications. However, the high density of exo-presented surface groups allowed attachment of targeting groups or functionality that could modify the solution behavior or toxicity of dendrimers. Quite remarkably, modified dendrimers were shown to act as nano-drugs against tumors, bacteria, and viruses. Also, it was applied in medicin and agents of contrast for MRI.

Charcogenation of arylhydrazines via C-N bond cleavage: Facile access to unsymmetrical aryl chalcogens

Pages 240-250

https://doi.org/10.22034/crl.2024.480274.1428

Ahmed Kareem Obaid Aldulaimi, Ayat Husein Adthab, Shakir Mahmood Saeed, Morug Salih Mahdi, Aseel Salah Mansoor, Usama Kadem Radi, Nasr Saadoun Abd

Abstract The development of simple and efficient methods for construction of diorganyl chalcogens is an important synthetic goal because such compounds possess diverse biological activities in medicine and agriculture. Charcogenation of easily accessible arylhydrazines through C−N bond cleavage is an efficient, economic, and environmentally friendly strategy for the synthesis of titled compounds. In the present review we will discuss recent advances made on this research topic, with the emphasis on the mechanistic aspects of the reactions.

Adsorption of cefixime and amoxicillin from aqueous media employing MWCNTs and Clinoptilolite

Pages 251-259

https://doi.org/10.22034/crl.2024.472666.1401

Hamid Reza Ghorbani, Maryam Abbasi, Fatemeh Ardestani, Mehri Esfahanian, Zinatossadat Hossaini

Abstract In the present study, the adsorption mechanism was systematically examined for the removal of cefixime and amoxicillin, two antibiotic compounds, utilizing MWCNTs and clinoptilolite as organic and inorganic adsorbents, respectively. Optimal conditions for maximal cefixime adsorption were identified at a pH of 8.7, utilizing an MWCNTs and clinoptilolite concentration of 3.65 and 2.5 mg/L respectively. The peak adsorption percentage for amoxicillin was observed at a pH of 7.5 with an MWCNTs concentration of 3.5 mg/L. Based on the findings, it was determined that MWCNTs effectively adsorbed both cefixime and amoxicillin; conversely, clinoptilolite demonstrated an inability to adsorb amoxicillin while exhibiting significant cefixime adsorption capabilities. In this investigation, MWCNTs and clinoptilolite were employed to facilitate the absorption of the two antibiotics, cefixime and amoxicillin, from aqueous solutions under both batch and continuous operational conditions. The merits of this methodology include the utilization of cost-effective adsorbents, elevated efficiency, and a straightforward procedural approach.

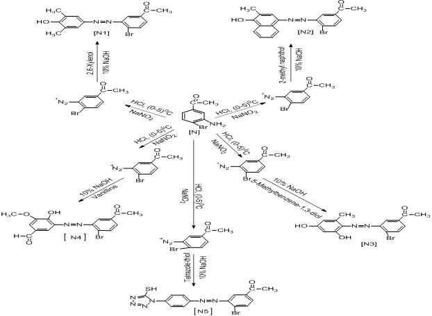
Synthesis of New Reactive Azo Dyes and Photocatalytic Degradation using Photocatalyst ZNO Sensitized by Visible Light

Pages 260-266

https://doi.org/10.22034/crl.2024.472921.1403

Nour Abd Alrazzak

Abstract In this research, new compounds were synthesis by reaction of diazonium salt of 5-Acetyl-2-bromoaniline with different coupling compounds (2,6-Xylenol , 2-methylnaphthol, 5-Methylbenzene-1,3-diol, vanillin and tetrazole thiol), to form new azo compounds that characterization by FTIR, 1HNMR, 13CNMR and CHNS, physical properties for synthesis compounds like color and melting point were study. For waste water treatment, sensitive zinc oxide was prepared from azo compound [N1] with zinc oxide and irradiated with 125 W mercury lamp at 298 K for this treatment, the effect of Congo red dye concentration, sensitive zinc oxide mass and effect of hydrogen peroxide were studied.

Obtaining an organic-inorganic sorbent based on vermiculite modified with urotropin and hydrolyzed polyacrylonitrile

Pages 267-279

https://doi.org/10.22034/crl.2025.481061.1435

Sabokhat Kholmurodova, Khayit KU Turaev, Rustam Alikulov, Khasan Beknazarov, Abror Nomozov, Eshmurodov Khurshid Eshmurodov

Abstract In this article presents information about the modification of vermiculite with hydrolyzed polyacrylonitrile and the synthesis of organic-inorganic sorbent obtained by adding hexamine as a surface-active group. Morphological images of the composite material obtained based on SEM analysis show the changes. below, surface area sizes were calculated based on isotherms drawn based on the results of adsorption-desorption using water vapor. The static and dynamic exchange capacities of the sorbent were studied. It was determined that the highest SAS value was 13 mmol-eq/g and DAS value was 1 mmol-eq/g in the presence of Cu2+ ion solution. The thermal tolerance of the obtained sorbent, SEM images of the surface, elemental analysis and the structure of existing bonds were analyzed using novel-infrared spectroscopy methods. Based on the BET method by absorbing water vapor at low pressure, the studied structural sorption properties of the sorbent showed that they have a mesoporous structure and high sorption properties.

Self-assembly and Morphological Analysis of Fe³⁺-doped TiO₂: from Nanoparticles to Nanofibers

Pages 280-285

https://doi.org/10.22034/crl.2024.481027.1434

Misriyani Misriyani

Abstract The morphology of nanostructured materials has an important role in determining their activity and functional properties, both in photocatalysis, sensors, optoelectronic devices, nanomedicine, energy storage and renewable energy applications. Various studies have shown that unique morphologies, such as nanofibers, can significantly improve the performance of materials in a variety of applications. In this context, titanium dioxide (TiO₂) doped with transition metal ions, such as Fe³⁺, has attracted attention due to its potential for improved optical and magnetic properties. This study aims to understand how the self-assembly process can produce nanofiber morphology in Fe³⁺-doped TiO₂, as well as analyze the effect of doping on changes in morphology and material properties. Through the process of hydrothermal synthesis, Fe³⁺-doped TiO₂ is developed from a nanoparticle structure into a nanofiber. The morphology and properties of the material were analyzed using Scanning Electron Microscopy (SEM). The results showed that Fe³⁺ doping affected the self-assembly process which led to the transformation of nanoparticles into nanofibers.

Characterization of chemically formulated gold nanoparticles and exploring their major application against virus and some pathogenic bacteria

Pages 286-299

https://doi.org/10.22034/crl.2025.479359.1430

Wajeeh Kachi Obead, Rajaa Hendi Salih, Amal Hendi Salih

Abstract ABSTRACT

Background: The urgent need to combat contagious diseases has prompted the international community to search for new and innovative solutions. Gold nanoparticles (AuNPs) have received significant attention due to their distinctive chemical properties, which makes them the most promising future medicines

Methods: The work employed a range of methodologies to investigate the stability, size, and concentration of gold nanoparticles (Au NPs), including UV spectral analysis, zeta potential imaging, dynamics of light scattering (DLS), atomic forces (AFM), electron microscopy with transmission (TEM), and flame-absorbed atomic spectroscopy (FAAM). Measles virus (MV) was cultured in the Vero cell line and determined the TCID50 %, Knowing the ability of different concentrations of gold Nano (AuNPs) to inhibit the measles virus at different MOI When used in a preprocessing manner and estimated the antibacterial effects of (AuNPs) against selected pathogens (Staphylococcus aureus, Staphylococcus epidermidis, Pseudomonas aerogenosa, and Escherichia coli)

Results: AFM and TEM examination determined that the gold nanoparticles (Au NPs) had a spherical form with an average diameter of about 20.65 nm. In the DLS investigation, a diameter variation of 24.3 ± 0.9 nm and a polydispersity of (0.463 ± 0.05) were observed. The concentration was 625 µg/ml.

The synthesized AuNPs capably inhibited the propagation of MV in Vero cells with different MOI, especially MOI (7) with 4.6 μg/ml of gold Nano. AuNPs showed potent antibacterial activity against S. aureus and S. epidermidis at two concentrations (9.3 and 4.6 μg/ml), while the inhibitor was limited to concentration 4.6 for P. aerogenosa and E. coli.

Conclusion At low concentrations, the synthesized gold nanoparticles have been shown to effectively and safely suppress the measles virus and some multidrug-resistant bacterial isolates.

Molecular docking and prediction of ADME/drug-likeness properties of some benzochromenopyrimidine derivatives as inhibitors of cyclooxygenase 2 (COX-2)

Pages 300-308

https://doi.org/10.22034/crl.2024.483994.1453

Marziyeh Kayyal, Abolfazl Olyaei, Khalil Pourshamsian, Mahdieh Sadeghpour

Abstract This study aimed to evaluate a series of benzochromenopyrimidines as inhibitors of cyclooxygenase-2 (COX-2), a type of nonsteroidal anti-inflammatory drug (NSAID). An in-silico docking study using AutoDock 4.2 was conducted to assess the inhibitory potential of the synthesized compounds against COX-2. The results indicated that compounds C and J demonstrated significant affinity for COX-2. Molecular docking revealed that both compounds C and J had a ligand affinity of -10.3 kcal/mol with COX-2. Compound C formed two hydrogen bonds at Gln524(A) and Arg513(A) with bond distances of 2.68 Å and 3.24 Å. Compound J interacted at Gln372(A), Phe371(A), and Phe371(B) with three hydrogen bonds at distances of 2.80 Å, 2.89 Å, and 3.05 Å. Additionally, an investigation of the ADME and drug-likeness parameters for compounds A-L indicates that compound C has good potential for gastrointestinal absorption and demonstrates zero violations of Lipinski's rule of five. However, compound C exhibited a greater COX-2 inhibitory effect than Benzydamine, a non-steroidal anti-inflammatory drug.

A reliable QSAR model of crystal-based pyridine derivatives to design and determine ADMET properties, molecular docking, and molecular dynamics of a novel complex for cervical cancer therapy

Pages 309-328

https://doi.org/10.22034/crl.2024.478553.1420

Pardis Roozbahani, Alireza Akbarzadeh, Mehdi Salehi

Abstract In this study, the Quantitative Structure-Activity Relationship (QSAR) method has been employed to investigate 30 crystal structures of pyridine and bipyridine derivatives. The half-maximal inhibitory concentration (IC50) related to the HeLa cell line of compounds was modeled utilizing a Multiple Linear Regression (MLR) method. According to the statistical results, the coefficient of determination (R2) was equal to 0.808 and 0.908 for the training and test sets, respectively. Furthermore, evaluation techniques for MLR, including Q2LOO=0.784, Q2LMO=0.807,

Y-randomization=0.119, and Q2cv=0.763, were employed to determine the accuracy of the introduced model. Following the procedures mentioned above, a novel anticancer structure was designed, for which molecular docking was also performed with Epidermal Growth Factor Protein (PDBID: 1M17). In silico ADME (absorption, distribution, metabolism, and excretion) calculation for the designed compound was also carried out, and the results revealed that the proposed structure could be used as an appropriate drug candidate. In addition, the toxicity of the designed compound was estimated using prediction of the activity and structure spectra (PASS) software. Molecular Dynamics (MD) simulation was processed by evaluating ligand-binding stability using root-mean-square deviation (RMSD) with NAMD software and CHARMM27 force field. The designed compound has a remarkable potential to be considered a suitable inhibitor.

A Review: New Synthesis of Chalcone Derivatives and Their Applications

Pages 329-351

https://doi.org/10.22034/crl.2025.480229.1427

Aras Abdalrahman Hamad, Rebaz Anwar Omer, Kosrat N Kaka, Abdalla A Amin, Karzan Mahmood Ahmed, Rzgar Farooq Rashid, TUSHAR AGGARWAL

Abstract Chalcones, also known as 1,3-diphenyl-2-propene-1-one, are organic substances composed of two aromatic rings connected by an unsaturated carbonyl group. These compounds belong to the flavonoid family and serve as precursors to other flavonoids found in a variety of plants. Naturally occurring in tea, fruits, vegetables, and spices, chalcones can be chemically synthesized through the Claisen-Schmidt condensation reaction, along with other methods like microwave irradiation and the Suzuki reaction. Chalcones and their derivatives exhibit a wide range of biological effects, including antibacterial, anticancer, and anti-inflammatory properties.

Direct vicinal oxy-azidation of unsaturated carbon-carbon bonds: a facile synthetic route to α-azido ketones

Pages 352-363

https://doi.org/10.22034/crl.2025.503463.1534

Zahra Rostami, PKP Gaitry Chopra, Megha S Sawangikar, Shaymardanova Mohichekhra, Sumit Kaushal

Abstract α-Azido carbonyls include compounds that are known to possess wide range of biological activities or are important templates in medicinal chemistry. They are also extremely powerful building blocks for the efficient synthesis of diverse arrays of biologically important N-heterocyclic compounds. In the light of the importance of this family of organic azide compounds a great deal of attention has been given to their synthesis and, in the past years, several methods have been described in the literature allowing for the direct construction of these substances from easily accessible alkene and alkynes by vicinal oxy-azidation reactions. However, no comprehensive review on this chemistry has been published to date. In this light, here we intend to summarize the advances in this attractive field with special attention on mechanistic features of the reactions.

Calorimetric and physico-chemical study of sulfobetaines micellization in the presence and the absence of polystyrene nanoparticles.

Pages 364-377

https://doi.org/10.22034/crl.2025.497364.1517

YSSAAD Fatima, FERGOUG Teffaha, DADOUCH Meriem, ARIBI Rachida, CHATER Fatima Zohra, KADIRI Aicha, BOUHADDA Youcef

Abstract This work investigates thermodynamic and physico-chemical properties of two zwitterionic surfactants (n-alkyl-N, N-dimethyl-3-ammoniopropanesulfonate, SB3-12 and SB3-14) in the presence and absence of polystyrene nanoparticles PS-NPs. The micellization process in water was studied using isothermal titration calorimetry (ITC) and dynamic light scattering (DLS) in the temperature range from 293.15 K to 323.15 K as well as by tensiometry at 298.15 K. For pure surfactant solutions, the increase in both temperature and the alkyl chain length leads to more negative values of Gibbs free energy of micellization (ΔG°mic), favoring the micellization. From the temperature dependence of micellization enthalpy (ΔH°mic), the values of micellization heat capacity changes (ΔC°p, mic) were found negative for the two surfactants relating to the removal of water accessible non-polar surfaces. DLS measurements showed that micelles aggregates size Dh are around 5.5 nm and 6.5 nm for SB3-12 and SB3-14 respectively with a pronounced hydrophobic effect as confirmed from tensiometry experiments. Furthermore, the aggregation numbers Nagg of SB3-12 and SB3-14 micelles were determined from isothermal titration calorimetry for the first time. The deduced values were in agreement with (DLS) results at high temperatures. In the presence of polystyrene nanoparticles (PS-NPs), the formation of micellar aggregates occurs by association between PS-NPs and surfactants at low concentration of surfactants as revealed from ITC and DLS analysis. These results suggest that the PS-NPs/surfactant association is based on hydrophobic interactions.

Recent advances in the construction of β-hydroxy phosphorus compounds via direct vicinal hydroxy-phosphorylation of alkenes

Pages 378-387

https://doi.org/10.22034/crl.2025.501726.1528

Akram Hosseinian, Mehriban Hamid Maharramova, Gunash Mazahir Nasrullayeva, Mehriban Rauf Yusifova, Rahul Raj Chaudhary

Abstract β-Hydroxy phosphorus compounds are often encountered in numerous pharmaceuticals and bioactive molecules, and also of great importance as intermediates or building blocks in organic synthesis. Among various synthetic strategies developed, direct vicinal hydroxy-phosphorylation of easily accessible alkenes proves to be one of the most powerful and straightforward protocols to construct such privileged structures. In this review, we summarize the recent advances in the synthesis of titled compounds through the direct hydroxy-phosphorylation of alkene substrates using P(O)–H compounds, and underline the remaining challenges. This information would provide important and inspiring guidance for the researchers working in organophosphorus chemistry.

Study of the synthesis reactivity of flavonol derivatives using quantum calculation methods

Pages 388-403

https://doi.org/10.22034/crl.2025.485638.1460

Halil Loubna, EL Ouafy Hayat, Boutkbout Nait Moudou Mouad, Aamor Mouna, Reda Chriyaa Mohamed, Iken Walid, Naciri Soukaina, EL Ouafy Tarik

Abstract The main objective of this work was to determine the global and local chemical descriptors of two reagents, 2-hydroxy acetophenone and benzaldehyde, which form flavonol, using DFT at the B3LYP/6-311G(d,p) level. The global reactivity indices indicate that 2-hydroxy acetophenone acts as a nucleophile, while benzaldehyde is an electrophile. Electrostatic potential and local indices suggest the preferred interaction occurs between the ketone group of 2-hydroxy acetophenone and the aldehyde group of benzaldehyde. Additionally, the Ultraviolet-Visible and NMR (Nuclear Magnetic Resonance) spectra of flavonol were simulated, showing good alignment with experimental data, thereby confirming the effectiveness of the applied methods NMR in predicting chemical properties.

The role of ligands in solar energy production – a case of ancillary and anchoring ligands in transition metal complexes

Pages 404-425

https://doi.org/10.22034/crl.2025.485307.1457

Sebusi Odisitse, Keene Carlvin Mmusi, James Thomas Matshwele, Florence Nareetsile, Cecil K King'ondu

Abstract An effective photovoltaic technique for powering electronic devices like wireless sensors with indoor light is dye-sensitized solar cells, or DSSCs. Their promise for cost-effective indoor photovoltaics is highlighted by their abundance of inexpensive materials, thin and lightweight flexible solar modules, and cheap cost. Nonetheless, there is a need to manufacture their processes for industrial production so that high photovoltaic efficiency and consistent performance in standard indoor environments can be achieved. This review seeks to shed light on the connection between ancillary and anchoring ligand structures and DSSC characteristics, which can help direct the function-oriented synthesis and design of various DSSC sensitizers. The novel and quickly developing class of chelating ancillary and anchoring ligands is described in this review for the purpose of improving the functionality and stability of DSSCs. In addition, the long-term thermal and chemical stabilities of these polypyridyl complexes, when compared to other typical sensitizers, have attracted increased attention on the possibility for large-scale commercialization of DSSCs. The main goal is to encourage readers to consider fresh possibilities for developing novel DSSC sensitizers based on various auxiliary and anchoring ligands.

Investigating the removal of pollutants from wastewater using microalgae

Pages 426-440

https://doi.org/10.22034/crl.2025.490720.1482

Leila Nedaei, Hanieh Shokrkar

Abstract The application of microalgae in the treatment of wastewater has attracted considerable scholarly interest as a viable and environmentally sustainable alternative. In recent years, numerous combinations of microalgae and bacterial consortia have been investigated to evaluate their efficacy in the remediation of wastewater originating from various sources. The essential criteria for assessing their performance encompass their capacity to eliminate nutrients such as nitrogen and phosphorus, in addition to heavy metals including arsenic, lead, and copper. This study examines the efficiency of microalgae-based systems in treating wastewater, comparing them with traditional treatment methods. It also delves into the characteristics of wastewater, conventional treatment techniques, and the mechanisms used for nutrient and heavy metal removal. Microalgae have demonstrated remarkable potential, achieving removal rates of up to 99.6% for nitrogen, 100% for phosphorus, and 13–100% for heavy metals across various wastewater types. Despite these advantages, microalgae-based treatment systems face certain challenges. Their performance is influenced by factors such as temperature, biomass productivity, osmotic pressure, pH, and oxygen concentration.

Preparation and characterization of a new nanomachine as interlocked molecule

Pages 441-447

https://doi.org/10.22034/crl.2025.496421.1508

Abdullah Najdhashemi, Samad Bavili Tabrizi, Mirzaagha Babazadeh

Abstract The rotaxane configuration is a flexible platform for building functional synthetic nanomachines among various interlocked molecular structures. A rotaxane consists of a linear segment and a cyclic component linked by noncovalent bonds. However, the complex synthesis of rotaxanes limits their applications. Active template synthesis is one method for producing rotaxanes, with crown ethers being ideal candidates due to their well-studied properties and easy availability. Crown Ether Active Template Synthesis (CEATS) allows for the rapid and straightforward synthesis of rotaxanes. Streamlining the synthesis process will facilitate broader research and practical applications of these compounds. This article details the synthesis of rotaxanes (5a) and (5b) via the CEATS method, with the chemical structures confirmed by 1HNMR, 13CNMR, and FT-IR spectroscopy.