Study of mixed ligand complexes of copper(II) with dimercaptophenols and hydrophobic amines and their application to the analysis of natural objects

Document Type : Research Article

Authors

1 Department of Chemistry, Azerbaijan State Pedagogical University, Baku, Azerbaijan

2 Azerbaijan State Oil and Industry University, Baku, Azerbaijan

Abstract
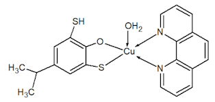
The complexation of Cu(II) with dimercaptophenols (2,6-dimercapto-4-isopropylphenol and 2,6-dimercapto-4-sec-butylphenol) and hydrophobic amines has been investigated by instrumental methods. Heterocyclic diamines such as 1,10-phenanthroline, 2,2'-dipyridyl and 4,7-diphenyl-1,10-phenanthroline (bathophenanthroline) were used as hydrophobic amine. The optimal conditions for the formation and extraction of mixed-ligand compounds were found and the ratios of components in the complexes were established. Spectrophotometric techniques for the determination of Cu(II) in various objects have been developed. The proposed methods are characterized by good reproducibility and low detection limits.

Graphical Abstract

Study of mixed ligand complexes of copper(II) with dimercaptophenols and hydrophobic amines and their application to the analysis of natural objects

Keywords

Subjects


Volume 8, Issue 4 - Serial Number 4
July and August 2025
Pages 773-785

  • Receive Date 22 March 2025
  • Revise Date 09 June 2025
  • Accept Date 21 June 2025